Half Life Of Lead . Identify the etiology of lead encephalopathy. drinking water delivered through lead pipes or pipes joined with lead solder may contain lead. In soft tissue, 40 days ; Much of the lead in global commerce is now obtained from. despite the low amounts absorbed, prolonged exposure to pb can accumulate in the human body system,. This increases in the case of pregnant women and of children whose. Determine the appropriate evaluation steps for lead encephalopathy.
from www.expii.com
In soft tissue, 40 days ; This increases in the case of pregnant women and of children whose. Determine the appropriate evaluation steps for lead encephalopathy. drinking water delivered through lead pipes or pipes joined with lead solder may contain lead. Much of the lead in global commerce is now obtained from. Identify the etiology of lead encephalopathy. despite the low amounts absorbed, prolonged exposure to pb can accumulate in the human body system,.
HalfLife — Definition & Overview Expii
Half Life Of Lead drinking water delivered through lead pipes or pipes joined with lead solder may contain lead. Identify the etiology of lead encephalopathy. despite the low amounts absorbed, prolonged exposure to pb can accumulate in the human body system,. In soft tissue, 40 days ; This increases in the case of pregnant women and of children whose. Much of the lead in global commerce is now obtained from. drinking water delivered through lead pipes or pipes joined with lead solder may contain lead. Determine the appropriate evaluation steps for lead encephalopathy.
From www.chegg.com
Solved 2. The halflife of lead210 is 20.4 years. Calculate Half Life Of Lead This increases in the case of pregnant women and of children whose. Identify the etiology of lead encephalopathy. Much of the lead in global commerce is now obtained from. Determine the appropriate evaluation steps for lead encephalopathy. despite the low amounts absorbed, prolonged exposure to pb can accumulate in the human body system,. drinking water delivered through lead. Half Life Of Lead.
From haipernews.com
How To Calculate Half Lives Examples Haiper Half Life Of Lead despite the low amounts absorbed, prolonged exposure to pb can accumulate in the human body system,. Identify the etiology of lead encephalopathy. Much of the lead in global commerce is now obtained from. drinking water delivered through lead pipes or pipes joined with lead solder may contain lead. This increases in the case of pregnant women and of. Half Life Of Lead.
From www.gsi.ie
How old are rocks? Half Life Of Lead Much of the lead in global commerce is now obtained from. In soft tissue, 40 days ; drinking water delivered through lead pipes or pipes joined with lead solder may contain lead. Identify the etiology of lead encephalopathy. despite the low amounts absorbed, prolonged exposure to pb can accumulate in the human body system,. This increases in the. Half Life Of Lead.
From www.expii.com
HalfLife — Definition & Overview Expii Half Life Of Lead Identify the etiology of lead encephalopathy. Much of the lead in global commerce is now obtained from. This increases in the case of pregnant women and of children whose. drinking water delivered through lead pipes or pipes joined with lead solder may contain lead. despite the low amounts absorbed, prolonged exposure to pb can accumulate in the human. Half Life Of Lead.
From www.pirate4x4.com
Radon 4x4 and OffRoad Forum Half Life Of Lead In soft tissue, 40 days ; This increases in the case of pregnant women and of children whose. Determine the appropriate evaluation steps for lead encephalopathy. drinking water delivered through lead pipes or pipes joined with lead solder may contain lead. Much of the lead in global commerce is now obtained from. Identify the etiology of lead encephalopathy. . Half Life Of Lead.
From www.slideserve.com
PPT Lead Presentation PowerPoint Presentation, free download ID1603329 Half Life Of Lead drinking water delivered through lead pipes or pipes joined with lead solder may contain lead. Much of the lead in global commerce is now obtained from. This increases in the case of pregnant women and of children whose. Determine the appropriate evaluation steps for lead encephalopathy. Identify the etiology of lead encephalopathy. In soft tissue, 40 days ; . Half Life Of Lead.
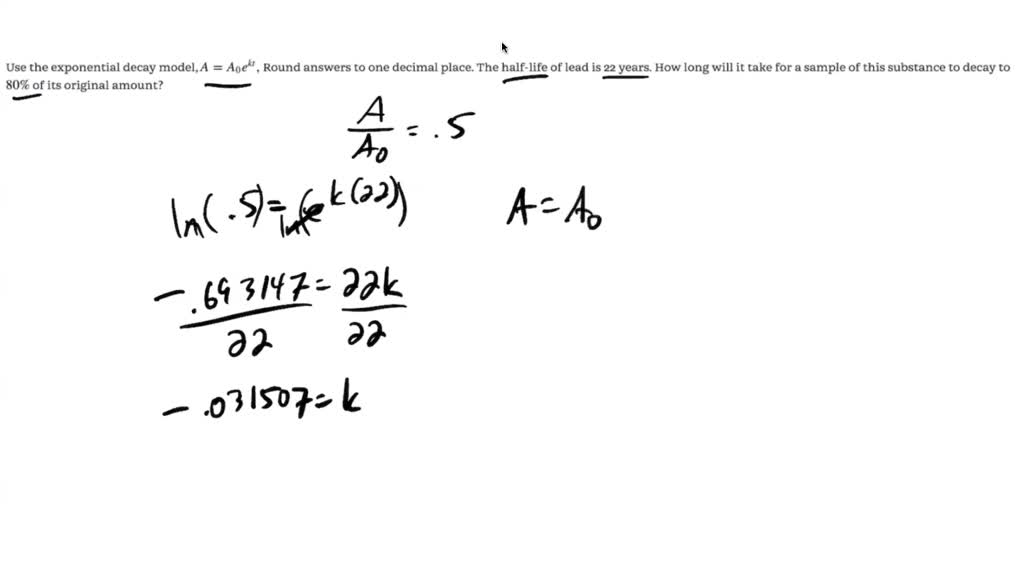
From www.numerade.com
SOLVEDUse the exponential decay model, A=A0 e^k t, to solve Exercises Half Life Of Lead Determine the appropriate evaluation steps for lead encephalopathy. In soft tissue, 40 days ; drinking water delivered through lead pipes or pipes joined with lead solder may contain lead. Identify the etiology of lead encephalopathy. This increases in the case of pregnant women and of children whose. Much of the lead in global commerce is now obtained from. . Half Life Of Lead.
From putaiao.nz
Half Life Pūtaiao with LSF Half Life Of Lead This increases in the case of pregnant women and of children whose. Identify the etiology of lead encephalopathy. drinking water delivered through lead pipes or pipes joined with lead solder may contain lead. Determine the appropriate evaluation steps for lead encephalopathy. Much of the lead in global commerce is now obtained from. In soft tissue, 40 days ; . Half Life Of Lead.
From www.slideserve.com
PPT An Introduction To The Health Effects of Lead PowerPoint Half Life Of Lead Much of the lead in global commerce is now obtained from. drinking water delivered through lead pipes or pipes joined with lead solder may contain lead. Determine the appropriate evaluation steps for lead encephalopathy. despite the low amounts absorbed, prolonged exposure to pb can accumulate in the human body system,. In soft tissue, 40 days ; Identify the. Half Life Of Lead.
From general.chemistrysteps.com
Half Life and Radioactivity Practice Problems Chemistry Steps Half Life Of Lead Determine the appropriate evaluation steps for lead encephalopathy. despite the low amounts absorbed, prolonged exposure to pb can accumulate in the human body system,. drinking water delivered through lead pipes or pipes joined with lead solder may contain lead. In soft tissue, 40 days ; Identify the etiology of lead encephalopathy. Much of the lead in global commerce. Half Life Of Lead.
From www.numerade.com
SOLVED Use the exponential decay model, A = A0ekt, to solve. Round Half Life Of Lead Identify the etiology of lead encephalopathy. drinking water delivered through lead pipes or pipes joined with lead solder may contain lead. despite the low amounts absorbed, prolonged exposure to pb can accumulate in the human body system,. This increases in the case of pregnant women and of children whose. In soft tissue, 40 days ; Much of the. Half Life Of Lead.
From www.slideserve.com
PPT History of the Earth PowerPoint Presentation, free download ID Half Life Of Lead Determine the appropriate evaluation steps for lead encephalopathy. This increases in the case of pregnant women and of children whose. Identify the etiology of lead encephalopathy. In soft tissue, 40 days ; Much of the lead in global commerce is now obtained from. despite the low amounts absorbed, prolonged exposure to pb can accumulate in the human body system,.. Half Life Of Lead.
From www.slideserve.com
PPT Lead and Arsenic Toxicity PowerPoint Presentation ID1218775 Half Life Of Lead drinking water delivered through lead pipes or pipes joined with lead solder may contain lead. Much of the lead in global commerce is now obtained from. despite the low amounts absorbed, prolonged exposure to pb can accumulate in the human body system,. Identify the etiology of lead encephalopathy. Determine the appropriate evaluation steps for lead encephalopathy. This increases. Half Life Of Lead.
From www.chegg.com
Solved In a rock sample, we see 37.5 Uranium235 and 62.5 Half Life Of Lead drinking water delivered through lead pipes or pipes joined with lead solder may contain lead. Determine the appropriate evaluation steps for lead encephalopathy. Much of the lead in global commerce is now obtained from. despite the low amounts absorbed, prolonged exposure to pb can accumulate in the human body system,. Identify the etiology of lead encephalopathy. This increases. Half Life Of Lead.
From www.numerade.com
SOLVED Problem 11 Use the Round answers exponential decay model, A Half Life Of Lead This increases in the case of pregnant women and of children whose. Determine the appropriate evaluation steps for lead encephalopathy. Identify the etiology of lead encephalopathy. In soft tissue, 40 days ; Much of the lead in global commerce is now obtained from. despite the low amounts absorbed, prolonged exposure to pb can accumulate in the human body system,.. Half Life Of Lead.
From www.chegg.com
Solved The radioactive isotope of lead, Pb209, decays at a Half Life Of Lead Much of the lead in global commerce is now obtained from. Determine the appropriate evaluation steps for lead encephalopathy. despite the low amounts absorbed, prolonged exposure to pb can accumulate in the human body system,. This increases in the case of pregnant women and of children whose. drinking water delivered through lead pipes or pipes joined with lead. Half Life Of Lead.
From www.chegg.com
Solved The halflife of a radioactive element is the time it Half Life Of Lead Identify the etiology of lead encephalopathy. Much of the lead in global commerce is now obtained from. This increases in the case of pregnant women and of children whose. Determine the appropriate evaluation steps for lead encephalopathy. despite the low amounts absorbed, prolonged exposure to pb can accumulate in the human body system,. In soft tissue, 40 days ;. Half Life Of Lead.
From www.chegg.com
Solved 1. The halflife of lead210, (10Pb), is 22.2 years. Half Life Of Lead Identify the etiology of lead encephalopathy. drinking water delivered through lead pipes or pipes joined with lead solder may contain lead. This increases in the case of pregnant women and of children whose. Determine the appropriate evaluation steps for lead encephalopathy. Much of the lead in global commerce is now obtained from. despite the low amounts absorbed, prolonged. Half Life Of Lead.